Lompat ke konten Lompat ke sidebar Lompat ke footer

9 Contoh Soal Bep Dan Grafiknya

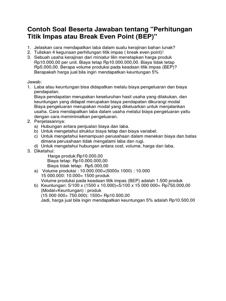
9 Contoh Soal Bep Dan Grafiknya. Lalu bagaimana rumus juga cara menghitung bep? Contoh soal dan rumus bep. Contoh soal break even point.

29+ Contoh Soal Dan Jawaban Bep Per Unit - Kumpulan Contoh ...
29+ Contoh Soal Dan Jawaban Bep Per Unit - Kumpulan Contoh ...
Source: image.slidesharecdn.com

Dimanaa pendekatan grafik menggambarkan hubungan antara volume penjualan. Halaman contoh soal fungsi trigonometri dan soal un grafik fungsi trigonometri bagian 2 memberikan kumpulan soal un trigonometri sesuai level kognitif aplikasi. Dari gambar ini terlihat bahwa biaya tetap rp. Fungsi permintaan(demand), penawaran(supply) dan harga keseimbangan(equlibrium price).

Penyelesaian pertidaksamaan pada diagram cartesius, caranya sebagai berikut:

Sifat, operasi hitung dan penerapan. Cara menghitung dan contoh soal (hpp) harga pokok penjualan perusahaan. Contoh soal break even point :


Posting Komentar untuk "9 Contoh Soal Bep Dan Grafiknya"